
FreeScan Trak Nova双核无线跟踪激光三维扫描系统,集便携式跟踪三维扫描与大幅面激光手持三维扫描双重模式于一身。其配备无需编码点的大范围视频流摄影测量,能够更好地进行中大型工件精度把控。同时,FreeScan Trak Nova内置无线传输模块,配合内置电池可实现无线扫描,自由移动。
MORE>>
先临天远RobotScan机器人智能3D检测系统,以机器代替人工,可进行全自动、标准化三维扫描,快速获取工件的准确三维数据,并进行实时在线检测,输出检测报告。RobotScan为国内自主研发,可根据实际检测场景进行定制化开发,适用于现代工厂批量化3D尺寸检测,助力智能制造的高效高质发展。
MORE>>
AutoScan Inspec2全自动桌面三维检测系统,专注于小尺寸精密工件三维数据获取,扫描精度高达10μm,拥有高质量数据细节与高保真色彩,采用一体式外观设计,一键实现全自动多角度扫描,融合智能补扫算法,能够自动规划补扫路径获取缺漏数据,并搭载通过PTB认证的自研三维检测模块,快速完成三维扫描与尺寸检测。
MORE>>
OptimScan Q9/Q12计量级高精度蓝光三维扫描仪,延续OptimScan系列计量级精度和强大细节还原能力;集成两组高分辨率扫描模组,可实现两个不同扫描范围的一键切换,无需手动更换镜头及调焦。
MORE>>
FreeScan UE Nova大幅面高速无线激光手持三维扫仪,专为大型工件的高效、准确3D测量而研发,具有大幅面扫描、高速作业、无线传输、高精度保障等优势,适合大型工件3D测量的同时不失灵活。
MORE>>
FreeScan Omni无线一体式手持三维扫描测量仪是先临三维自主创新开发的一款具有划时代意义的产品,其采用第三代无线扫描技术,无需电脑,搭载算法通过德国PTB双重精度认证的自研工业计量三维检测模块,可实现一台设备独立完成“三维扫描+三维检测”(无需连接电脑以及电源线)。
MORE>>
• 可配置接触式测头、扫描测头和光学测头系统的 CNC三坐标测量机。
• 各轴均配备气浮导轨的动态高精度系列。
• 控制器和计算机集成于一个工作台。
• 多种规格,可为所需测量范围提供非常好的选择。

拥有了 LH 系列产品,您可以从这台运行可靠、易于操作的机器上受益于其高性能、高效率和高灵活性的测量。我们坐标测量机的成功基于其久经考验的整体设计理念,包括先进的工程设计、智能的软件、丰富的配件选择以及综合服务。稳定、可靠、高速的 LH 系列产品是一种适用于不同应用的通用灵活的测量仪器。采用目前先进的气浮轴承,温泽在精度、效率和使用寿命方面也不断取得进步。LH革新的设计树立了高机械精度、完美的人体工程学设计和动力学性能的形象。LH系列的CMM 还能为您提供标准级、高精度级和高精度优选级三个级别的精度。
MORE>>
PMT GAMMA 7轴关节臂同样提供P、M、E三种精度和7种量程规格选择,此系列在确保测量精度的同时还保障了测量的灵活性和效率,同样8轴拓展且可灵活搭载GH或GS新-代蓝光扫描头。对于寻求稳健、可靠、需求多样性的工厂或车间检测的公司,这是一款两相皆宜的选择。
使用派姆特GAMMA关节臂可通过快速地检测过程来控制质量、减少废品和提高生产效率。

PMT GAMMA 6轴关节臂提供P、M、E三种精度选择,覆盖1.5至4.5米测量范围,此系列关节臂测量精度可高达0.012mm。
全球首创外解耦内置平衡机构,性能卓越,大大降低设备使用过程中关节受力负载,显著提升了设备的稳定性和操作时的高度灵活性。此外,GAMMA全系列均支持8轴拓展可配备多种智能测头,全面满足您的多样化需求。

Quantum X 的灵活性和多功能性是关键。该系列通过了 ISO 10360(行业非常高的标准)认证,提供五种长度选项、三种精度性能级别和多种激光测头 (LLP)。新增的 FARO®8-Axis Max 是一个 8 轴旋转工作台,可将测量时间缩短达 40%,同时保持卓越的精度。
MORE>>
全新推出的 Quantum Max ScanArm 及其三款热插拔 LLP 能够满足任何测量需求,让这一传统继续发扬光大。利用可极大提升扫描速度或分辨率的选项,快速而精确地完成测量工作从未如此简单。凭借非常大的灵活性、更大的臂展范围和重新设计的具有双活动式 LLP 安装座的末端操作机构,让创造的价值和生产力可提升30% 以上。
MORE>>
全自动影像测量仪是一种高度自动化的精密测量设备,广泛应用于制造业的质量控制和产品开发中。这种测量仪结合了先进的光学成像技术、精密机械传动和计算机软件算法,能够对工件进行非接触式的尺寸和几何特征测量。全自动影像测量仪因其高精度、自动化和智能化的特点,在精密测量领域发挥着重要作用,是现代工业生产和质量控制不可或缺的工具。
MORE>>
龙门全自动光学影像测量仪是一种高精度的非接触式测量设备,主要应用于需要高精度测量的工业领域,如精密机械、电子、半导体、模具制造等行业。这种测量仪利用光学原理,通过CCD摄像机捕捉被测工件的图像,然后通过软件分析这些图像,以确定工件的尺寸、形状和位置。
MORE>>
SmartAxis系列对射测量传感器采用双远心高分辨率光学镜头,高亮度LED和远心光学系统构成的光源,提高了对场所、角度的均匀性;结合软件高精度图像分析算法、亚像素边缘提取并利用毛刺过滤算法自动去除边缘毛刺、黑色阴影及白色亮边等影响,大幅提升了测量重复性和精度;可选配的多种组合照明系统,满足用户对复杂工件的快速准确测量。
MORE>>
核心部件采用1:1成像、分辨率1200DP的接触式图像传感器集光源、镜头、光电转换芯片为一体,无论是光滑表面还是复杂纹理,都能对产品进行逐行、高速、高精度的扫描,避免由于图像畸变及边缘虚化所带来的分辨率损失问题,减轻后续图像处理环节的负担。
MORE>>在精密制造领域,零件的几何精度直接影响着产品的性能与寿命。其中,圆度作为衡量旋转体或圆形截面形状精度的关键指标,对于轴承、轴类、齿轮、密封件等核心零部件至关重要。本文将系统介绍圆度的定义、测量方法、国际标准及高精度圆度测量解决方案。
圆度的定义
圆度,是指工件某一横截面轮廓相对于其理想圆的偏离程度。圆度值反映横截面轮廓的最大半径差,代表了轮廓接近完美圆的程度,数值越小,圆度越好。

圆度的重要性及方法
为何要测量圆度?
旋转部件是工业零部件非常基本、非常普遍的几何形式之一,当回转部件需有平稳运转或低噪声、低功耗、长寿命、高密封等要求时,部件中的回转零件需对其圆度进行测量控制。
典型高要求应用行业: 精密轴承、电机(转子/定子)、燃油喷射系统(油泵、喷油嘴)、发动机(曲轴、凸轮轴、气门组件)、传动齿轮、液压元件等。
如何测量圆度?

在工业现场应用中,简易的圆度测量方法通常有两点法和三点法。这两种方法的优点是使用成本低,快速高效。缺点是测量误差大,测量精度低。
半径测量法

在高精度的圆度测量应用中,主流的测量方法采用的是半径测量法,该方法需要使用专业的测量仪器。
其测量原理为:以精密回转轴系为测量基准,采用高精密传感器及角位移传感器实时采集被测横截面的圆轮廓数据,经去噪、滤波等数学处理后,按标准规范计算圆度值,测量精度可达亚纳米级。
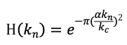
圆度测量的滤波
在ISO/TS 12181-2:2003(E)标准中,对圆度测量滤波器的传输率,传输特性均有严格的规定,其传输特性如下:

其中, kc 为截止波数。
圆度中,各截止波长的传输曲线如下图:

不同滤波段的含义为:
1-500upr,抑制角间距小于0.72°不规则形状;
1-150upr,抑制角间距小于2.4°的不规则形状;
1-50upr,抑制角间距小于7.2°的不规则形状;
1-15upr,抑制角间距小于24°的不规则形状。
圆度的评定标准
圆度值的计算依赖于所选择的参考圆。不同的评定方法会得出不同的参考圆心位置和圆度值。主要标准方法包括:

1、最小二乘圆LSC:
拟合圆使轮廓点径向偏差平方和最小。
2、最小区域圆MZC:
两个同心圆包容轮廓,使两圆的径向间距最小。
3、最小外接圆MCC:
寻找能完全包容被测轮廓的最小圆。用于评估轴类零件。
4、最大内切圆MIC:
寻找能完全内切于被测轮廓的最大圆。用于评估孔类零件。
威尔仪器介绍
威尔RDM/RDA圆度仪系列是一款以精密气浮回转主轴为测量基准,采用精密传感器测量横截面圆轮廓的高精度测量仪器,并搭载专业级分析软件完成数据处理。

关键功能亮点
1、核心测量
·圆度 ·跳动
·同心度 ·平面度
2、特色技术
·气浮主轴 ·可调测力传感器
3、精度保障
·回转精度:(0.025 + 6H/10000) μm
·传感器分辨率:0.001μm
4、智能分析
·缺口剔除 ·ISO报表
·频谱分析
5、高效操作
·软件快速调心调平(RDM)
·软件自动调心(RDA)
·测针快速更换
6、稳定环境
·一体式大理石防振机台
·精密除油调压气源装置
OPT(奥普特)一键测量传感器SmartFlash集成了机器视觉的边缘提取、自动匹配、自动对焦、自动学习及图像合成等人工智能技术,采用双远心光路及多角度照明系统设计,搭载高精度运动平台,并通过亚像素边缘提取算法处理图像,具有高精度四重保证措施,精度达微米级。
精准测量是支撑高质量制造的基石。先临三维的高精度工业3D扫描技术作为一种光学测量工具,凭借其高精度、高效率、非接触等优势,为高端制造的精密三维尺寸检测提供保障。当下,这项技术已经渗透至到汽车工业、航天制造、电子电器、教育科研等行业,满足了不同用户对三维尺寸检测的需求。
影像仪主要利用光学成像系统将物体的轮廓、表面特征等形成光学影像,然后通过电荷耦合器件(CCD)相机或者互补金属氧化物半导体(CMOS)相机进行图像采集。这些图像被传输到计算机软件系统中,软件会根据预先设定的测量算法和参照标准来分析处理图像,从而得出物体的各种尺寸参数(如长度、宽度、高度、直径等)、形状误差(如圆度、直线度等)以及位置关系(如孔的中心距等)。
金属材料是指金属元素或以金属元素为主构成的具有金属特性的材料的统称,包括纯金属、合金、金属材料金属间化合物和特种金属材料等,金属的成分组成是决定材料性能的主要因素,因此了解金属成分及性能,能更好地应用材料,相比于传统的滴定法、分光光度法等检测方法,X射线荧光光谱仪(XRF)具有无损分析、检测效率高、速度快等优点,是目前金属材料领域常见的分析方法。
备案号:苏ICP备2021034312号-1

